

英文标题:Moderate source-reduction improves peanut yield and quality through modulating photosynthesis, source-sink equilibrium, and secondary metabolisms
发表期刊:Plant Physiology and Biochemistry
影响因子:5.7
客户单位:青岛农业大学
百趣提供服务:植物NGM 2 Pro、转录组测序
研究背景
花生是全球重要的油料与蛋白来源,但生产中常面临“营养生长过旺”难题——枝叶过度生长会大量消耗同化产物,导致供给荚果的养分不足,使荚果产量低、品质差。
传统用多效唑、烯效唑等化学抑制剂控旺,却易造成土壤、水体污染,还存在食品安全隐患。减源(去除部分营养器官)是调控作物“源库平衡”(营养器官与生殖器官的物质分配)的有效手段,已在小麦、玉米上成功应用,但在地下结荚的花生上研究极少,其与机械损伤的协同作用也不明确。
本研究开展两年田间试验,通过组学检测及生理生化指标测定探索不同减源程度对花生产量、品质的影响及核心机制。
技术路线

研究结果
01-中度减源产量与品质双提升
两年数据显示,中度减源(T20)是最优方案:产量上两年平均荚果产量提高 11.52%,100 荚重增加 7.55%-13.32%,饱果率提升 7.13%-7.61%;品质上种子蛋白含量增加 3.85%,油酸/亚油酸比值(the ratio of total oleic acid to total linoleic acid, O/L)提升 10.61%(O/L 越高,花生油货架期越长、氧化风险越低)。
反观轻度减源组(T10),产量和品质无显著影响(表1);重度减源(T30)则导致产量下降超 20%,蛋白、油酸含量显著降低,O/L 比值下降 12%-18%(表2)。

表1. 轻微、中度和重度减源处理对 2022 年和 2023 年花生产量及与产量相关成分的影响

表2. 轻微、中度和重度减源处理对 2022 年和 2023 年种子质量参数的影响
02-增强光合效率,为高产供能
光合是作物产量的“源头”,T20 对光合系统的提升效果显著:如功能叶净光合速率提高 8.52%-13.60%,气孔导度提升 11.27%-27.54%;同时叶绿素含量(Soil and Plant Analyzer Development Value, SPAD)增加 8.41%-16.61%,且转录组数据显示,T20 组光合链关键基因(如光系统 Ⅰ、细胞色素 b₆/f 复合体相关基因)表达显著上调,而 T30 组这些基因表达被抑制(图1)。

图1. 减源对花生功能性叶片光合性能的影响
03-激活抗氧化系统,减少损伤保生长
研究显示,减源类似机械损伤,会诱导植物产生活性氧(Reactive Oxygen Species, ROS),过量 ROS 会损伤细胞。而 T20 能通过强化抗氧化系统清除多余 ROS。
生化指标表明,T20 超氧化物歧化酶(Superoxide Dismutase, SOD)、过氧化氢酶(Catalase, CAT)、愈创木酚过氧化物酶(Guaiacol Peroxidase, G-POD)活性显著高于对照组;细胞损伤指标脂质过氧化产物丙二醛(Malondialdehyde, MDA)含量降低 6.00%-8.62%,而 T30 组 MDA 含量激增 35%-40%,细胞膜脂损伤严重(图2)。

图2. 减源对花生功能性叶片抗氧化系统和脂质过氧化作用的影响
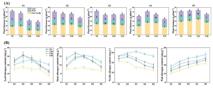
04-营养偏向生殖器官,实现“养分精准分配”
减源的核心是优化“源库分配”,T20 能引导养分向荚果、果针(生殖器官)转移:从 S2 期开始,T20 组荚果+果针的生物量持续高于对照,S5 期时显著高于其他处理;而叶、茎(营养器官)生物量在 S5 期显著低于对照;
氮含量变化趋势一致:T20 组荚果、果针的氮积累量从 S2 期开始升高,而叶、茎的氮含量在后期回落,说明氮素从营养器官向生殖器官转移(图3)。

图3. 减源对花生植物生物量和氮含量的影响
05-代谢与激素协同调控
转录组与代谢组分析结果揭示了 T20 的调控机制:能量与碳代谢中,TCA 循环关键代谢物磷酸烯醇式丙酮酸和琥珀酸含量升高,淀粉-蔗糖代谢中蔗糖、葡萄糖-6-磷酸积累增加,为生殖生长供能;
氮代谢中,硝酸转运基因(Nitrate Transporter, NRT)、谷氨酰胺合成基因(Glutamine Synthetase, glnA)表达上调,促进氮吸收与利用(图4);
次生代谢中,苯丙烷通路关键基因(CYP84A、CAD)表达上调,增强抗逆性;此外生长素信号基因表达降低(抑制徒长),茉莉酸信号基因(JAR1_4_6)表达上调(图5)。

图4. 减源对花生功能性叶片 TCA 循环、淀粉和蔗糖代谢以及氮代谢途径的影响

图5. 减源对花生功能性叶片苯丙素类生物合成、生长素信号转导以及茉莉酸信号转导途径的影响
结果小结
本研究证实,中度减源(去除两垄间 20cm 枝叶)是花生环保种植的“最优解”——无需化学抑制剂,通过增强光合、强化抗氧化、平衡源库分配、调控次生代谢,实现产量与品质双升。
该研究为豆科作物高产优质栽培提供新思路,后续需进一步探索其分子调控机制。
植物NGM 2 Pro:百趣生物植物NGM 2 Pro采用2W+标准品自建库与MetDNA3专利算法,具备高精度物质鉴定能力;并且支持个性化检测列表定制,可定向关注目标代谢物;可发现植物未知代谢物,助力突破性科研。同时,提供多体系检测与严格质控,显著提升鉴定数量与准确性,适用于植物代谢组学深度研究。
转录组测序:对细胞或组织在某一状态下的全部 RNA 进行测定,凭借新一代高通量测序技术,它能快速获取海量转录本序列,精准识别可变剪接、新转录本等关键信息。无论是助力基础研究探索基因功能,还是为临床诊断提供分子层面依据,转录组测序都是强有力的科研工具,为解锁生命奥秘、攻克健康难题带来更多可能 。


