

文章标题:Effect of Empagliflozin on the plasma lipidome in patients with type 2 diabetes mellitus: results from the EmDia clinical trial
发表期刊:Cardiovascular Diabetology
影响因子:10.6
文章简介
一项发表Cardiovascular Diabetology, 题为“Effect of Empagliflozin on the plasma lipidome in patients with type 2 diabetes mellitus: results from the EmDia clinical trial”的研究,旨在探究恩格列净(Empagliflozin)对2型糖尿病患者血浆脂质组的影响,并阐释其潜在心脏保护机制。研究团队对144例合并左室舒张功能障碍(E/E'≥8)的2型糖尿病(HbA1c≥6.5%)患者血浆开展4D-LC-TIMS/IMS深度脂质组学分析,该技术整合保留时间、碰撞截面、质荷比及二级质谱多维信息,对研究队列的血浆样本完成了272种脂质的高通量精准鉴定与定量。
研究背景
心血管疾病(Cardiovascular Diseases, CVD)尤其是心力衰竭是全球主要致死病因,SGLT2抑制剂(SGLT2i)如恩格列净虽能显著降低2型糖尿病(T2DM)患者的心血管风险,且降糖机制明确,但其心脏保护的分子机制尚未阐明。这一认知缺口在射血分数保留的心力衰竭(HFpEF)领域尤为突出——该病症缺乏有效治疗手段,而恩格列净正是其首个一线获批用药。脂质分子参与心肌结构构成与能量供给,在心血管疾病的病理生理过程中发挥关键作用,也让脂质组学成为解析恩格列净心脏保护分子机制的重要技术手段。
研究概览

研究结果
01.基线临床特征
本研究依托EmDia试验开展——这是一项双盲随机对照研究,共纳入144例患者,在常规用药基础上每日口服10 mg恩格列净,于基线、治疗1周和12周时采用4D-LC-TIMS/IMS脂质组学技术检测患者血浆脂质,同时完成各项临床指标的常规检测。
恩格列净(Empagliflozin)组与安慰剂(Placebo)组各72例,基线大部分临床指标具有可比性(表1);为保证结果无偏,后续所有分析均校正性别、年龄及基线E/E'值(左心室舒张功能的核心指标)。治疗1周后,患者体重、舒张压、体重指数等多项临床指标已受恩格列净显著影响;治疗12周后,E/E'、糖化血红蛋白、血液学指标及肾脏功能等更多核心临床指标得到显著改善。
表1. EmDia研究基线时的样本特征(n=144)

02.恩格列净治疗1周和12周后的脂质特征
研究采用稀疏组LASSO正则化回归模型,依据基线至治疗1周、12周的脂质变化量(delta),分别筛选恩格列净治疗相关脂质特征。治疗1周后,共筛选出37种脂质,涵盖LPC、PC、PE、SM、TG五类(图1A):LPC、TG整体下降,PE、SM整体升高;PC变化存在异质性。治疗12周后,共筛选出24种脂质,新增神经酰胺(Cer)类:Cer、PE整体升高,TG整体下降,LPC、PC、SM表现为部分升高、部分降低(图2A)。综上,两时间点脂质特征仅5种重叠,其中LPC 16:1 SN1、PC 34:5、PE 16:0_18:2变化方向一致,LPC 14:0 SN1、PC 15:0_18:2方向相反。

图1. 恩格列净治疗1周后脂质特征的稀疏组LASSO正则化回归模型

图2. 恩格列净治疗12周后脂质特征的稀疏组LASSO正则化回归模型
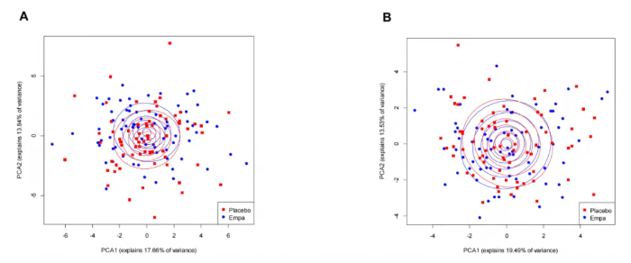
这一点在主成分分析(PCA)和受试者工作特征曲线(ROC)分析结果中得到了证实。主成分分析显示,基线时两组无明显分离(补充图1),而在治疗1周后开始出现分离趋势,12周后呈现出显著的清晰分离(图1B, 2B)。ROC分析同样表明,在两个治疗时间点,模型均表现出优异的诊断效能(1周鉴别能力优于12周),具备高灵敏度、高特异度及较高的曲线下面积(AUC)(补充图2)。总体而言,脂质特征谱在区分恩格列净组与安慰剂组方面表现稳健,具有较强的判别能力。

补充图1. 治疗1周和12周脂质特征的恩格列净组与安慰剂组基线主成分分析(PCA)

补充图2. 治疗1周与12周筛选脂质特征的受试者工作特征(ROC)分析
03.选定临床指标与恩格列净相关脂质之间的关联
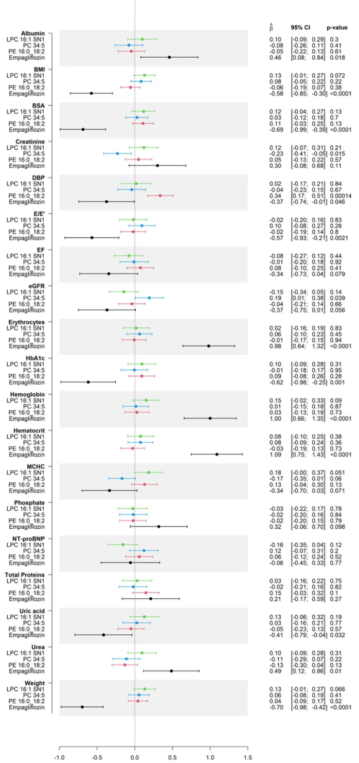
为探究恩格列净对临床指标的影响是否由特定脂质介导,该研究分析了治疗1周、12周后显著变化的临床指标,及其与LPC 16:1 SN1、PC 34:5、PE 16:0_18:2这三种跨时间点变化方向一致脂质的关联。治疗 1 周时,恩格列净使BMI、体重下降,而随用药降低的PC 34:5与这两项指标呈正相关,LPC 16:1 SN1亦与BMI呈正相关,提示这类脂质与恩格列净在体重调节中方向一致、存在协同作用(补充图3)。治疗12周时,恩格列净显著降低DBP,而恩格列净调控下显著升高的PE 16:0_18:2与DBP呈正相关、使其显著升高,形成潜在负反馈调节(图3),该现象仍需更大规模研究验证。

补充图3. 恩格列净治疗1周后,单个脂质与选定临床指标亚组关联的森林图

图3. 恩格列净治疗12周后,单个脂质与选定临床指标亚组关联的森林图
组内分析显示:恩格列净组中,E/E'与随治疗降低的PC 34:5呈正相关,提示该脂质或为药物改善心脏舒张功能的介导因素;LPC 16:1 SN1与BMI正相关,且该脂质随治疗下降,或协同恩格列净发挥减重作用。值得注意的是,无论是否接受恩格列净治疗,DBP均与PE 16:0_18:2呈正相关(表2),而该脂质用药后升高、模型中DBP却下降,提示其对DBP的影响独立于恩格列净。
该研究还分析了其他显著变化临床指标与脂质的关联:治疗1周后,经Bonferroni校正,仅红细胞变化与PE 18:0_22:6的升高显著相关;治疗12周后,BMI、体重、BSA均与LPC 16:1 SN1、LPC 14:0 SN1呈正相关(表3)。
表2. 恩格列净治疗组治疗12周后各类临床指标与脂质的相关性

表3. 恩格列净治疗1周和12周后,单个脂质与各类临床指标的关联表

04.恩格列净相关脂质的变化与选定临床特征亚组之间的关联
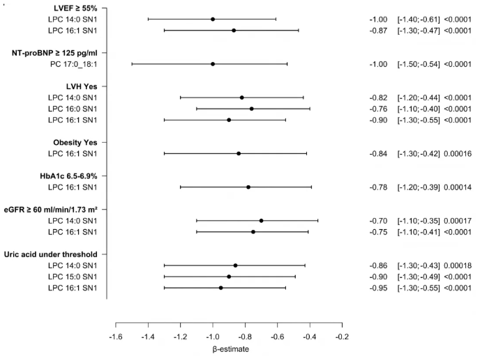
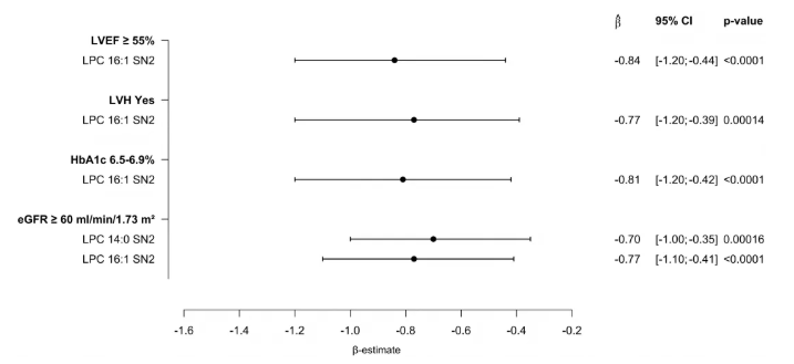
基于EmDia研究的临床分析,该研究选取LVEF、NT-proBNP、LVH、eGFR、肥胖(BMI≥30)、HbA1c及尿酸为分组指标进行患者临床特征亚组分析,旨在识别恩格列净治疗1周、12周后各亚组的特异性相关脂质。治疗1周,各临床特征亚组脂质关联谱各异(补充图4),LPC 14:0 SN1、LPC 16:1 SN1在多个亚组中均呈负相关,或为恩格列净早期应答共性脂质标志;其余亚组各有特异性关联脂质。治疗12周,显著关联脂质集中于LPC 14:0 SN2、LPC 16:1 SN2(补充图5),二者在LVEF保留、LVH、eGFR≥60、HbA1c 6.5-6.9%等亚组呈负相关,尿酸各亚组无显著关联。

补充图4. 恩格列净治疗1周后,单个脂质与各选定临床特征亚组关联的森林图

补充图5. 恩格列净治疗12周后,单个脂质与各选定临床特征亚组关联的森林图
研究总结
该研究借助EmDia试验,明确恩格列净治疗1周(37种)、12周(24种)的特异性脂质特征,5种重叠脂质体现脂质组对药物的动态应答。药物选择性调控神经酰胺、LPC等关键脂质,调控模式具时间性且与临床相关;神经酰胺升高相悖传统认知,而SM的调控为其心脏代谢获益提供新线索,LPC的调控则为相关机制研究提供了新方向。以脂质类别为功能单元分析,可规避单脂质异质性,精准捕捉生物学特征。研究证实,先进脂质组学在解析药物机制、挖掘标志物中的价值,未来需大样本结合4D-LC-TIMS/IMS深入研究,mCVDRisk评分也展现了脂质组学助力心血管个性化诊疗的前景。


